链表Linked List 203/206
luffy 4/13/2023 力扣
# 203. 移除链表元素
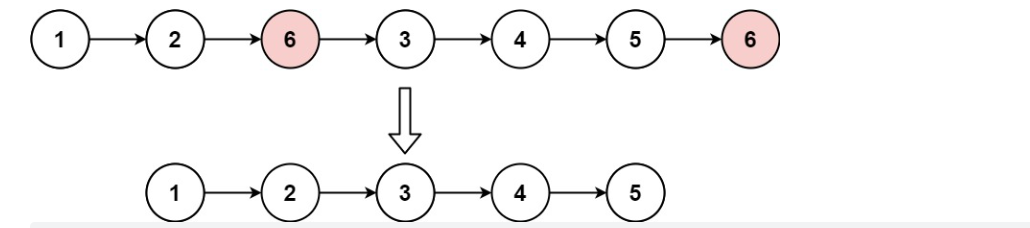
给你一个链表的头节点 head 和一个整数 val ,请你删除链表中所有满足 Node.val == val 的节点,并返回 新的头节点 。

输入:head = [1,2,6,3,4,5,6], val = 6
输出:[1,2,3,4,5]
1
2
2
输入:head = [7,7,7,7], val = 7
输出:[]
1
2
2
# 题解:
/**
* Definition for singly-linked list.
* function ListNode(val, next) {
* this.val = (val===undefined ? 0 : val)
* this.next = (next===undefined ? null : next)
* }
*/
/**
* @param {ListNode} head
* @param {number} val
* @return {ListNode}
*/
var removeElements = function (head, val) {
let dummyHead = new ListNode();
dummyHead.next = head;
let prev = dummyHead;
while (prev.next != null) {
if (prev.next.val === val) {
prev.next = prev.next.next;
} else {
prev = prev.next;
}
}
return dummyHead.next;
};
1
2
3
4
5
6
7
8
9
10
11
12
13
14
15
16
17
18
19
20
21
22
23
24
25
2
3
4
5
6
7
8
9
10
11
12
13
14
15
16
17
18
19
20
21
22
23
24
25
# 206. 反转链表
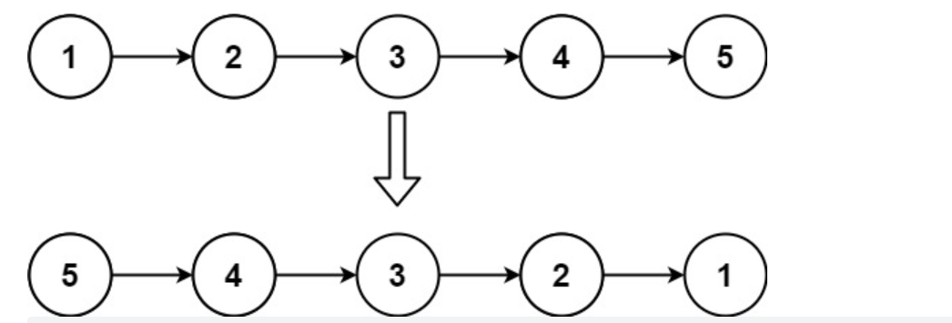
给你单链表的头节点 head ,请你反转链表,并返回反转后的链表。

输入:head = [1,2,3,4,5]
输出:[5,4,3,2,1]
1
2
2
输入:head = [1,2]
输出:[2,1]
1
2
2
输入:head = []
输出:[]
1
2
2
# 题解:
/**
* Definition for singly-linked list.
* function ListNode(val, next) {
* this.val = (val===undefined ? 0 : val)
* this.next = (next===undefined ? null : next)
* }
*/
/**
* @param {ListNode} head
* @return {ListNode}
*/
var reverseList = function (head) {
let prev = null;
let current = head;
while (current != null) {
let nextTemp = new ListNode(null);
nextTemp = current.next;
current.next = prev;
prev = current;
current = nextTemp;
}
return prev;
};
1
2
3
4
5
6
7
8
9
10
11
12
13
14
15
16
17
18
19
20
21
22
23
24
2
3
4
5
6
7
8
9
10
11
12
13
14
15
16
17
18
19
20
21
22
23
24